Skocz do zawartości

Panasonic RQ-SX71 pilot zdalnego sterowania


leniwiec1945

Rekomendowane odpowiedzi

Opublikowano

Witam serdecznie, niedawno udało mi się przywrócić do życia ww. niestety nie mam do niego pilota. Player ma załączone dolby i zdaje się korekcję co denerwuje w trakcie słuchania. Czy ktoś z forumowiczów posiada schemat pilota (albo zaglądał do środka i ma zdjęcia z wnętrza tego wynalazku). Nie jestem w stanie znaleźć nić w sieci a zakup pilota to równowartość samego urządzenia. Może jakiś pomysł na przełączenie tych funkcji? Mam pilot od innego modelu bez wyświetlacza ale nie działa.

  • G.Moderator
Opublikowano

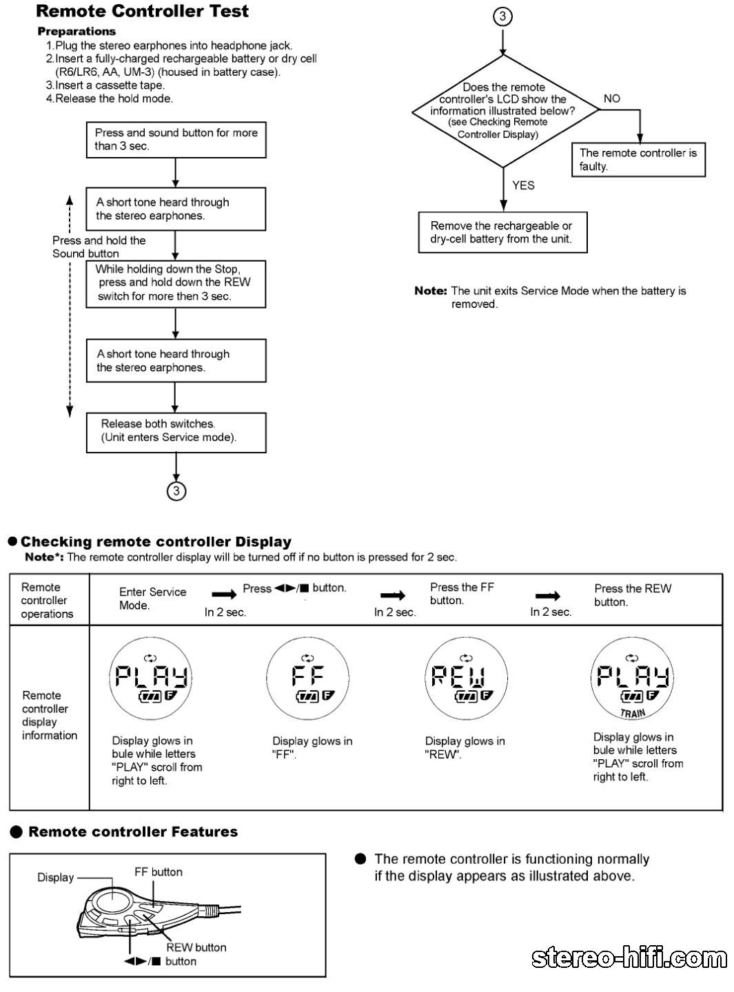
Niestety w dostępnej serwisówce temat pilota jest poruszony, że jest.

Sterowanie ze szczotki funkcje play,ff,rev za pomocą drabinki rezystorów. Reszta do analizy. Niestety schemat trzeba wydrukować i skleić bo nie wiadomo gdzie góra a gdzie dół.

 

Jeśli chcesz zobaczyć zdjęcie, zaloguj się lub zarejestruj nowe konto

Jeśli chcesz zobaczyć zdjęcie, zaloguj się lub zarejestruj nowe konto

  • Super (+1 pts) 1
Opublikowano

Dokładnie, myślałem że znajdzie się ktoś na forum kto ma i może zrobić fotkę wnętrza :). Nie ma tragedii odłożę temat na półkę do czasu kiedy mi wpadnie w łapy pilot.

Jeśli chcesz dodać odpowiedź, zaloguj się lub zarejestruj nowe konto

Jedynie zarejestrowani użytkownicy mogą komentować zawartość tej strony.

Zarejestruj nowe konto

Załóż nowe konto. To bardzo proste!

Zarejestruj się

Zaloguj się

Posiadasz już konto? Zaloguj się poniżej.

Zaloguj się
×
×
  • Dodaj nową pozycję...

Powiadomienie o plikach cookie

Korzystając z tej witryny, wyrażasz zgodę na nasze Warunki użytkowania Regulamin Polityka prywatności.